The integral of tan x is one of the most searched trigonometric integrals because students often feel confused by it. Unlike sine and cosine, tan x does not have a direct simple integral formula that students remember easily.
But once you understand how and why this integral works, it becomes extremely simple and logical.
In this guide, you will learn:
What tan x really is
Why its integral looks different
The correct method to solve it
Step-by-step working
Common mistakes students make
Exam-ready understanding
Variations of the question students search for
The tangent function is defined as:

This identity is the key to solving the integral of tan x.
Before integrating tan x, always remember:
Trigonometric integrals often become easy after rewriting the function.
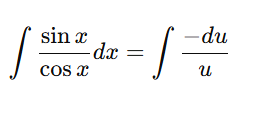
We are trying to solve:

There is no direct memorized formula like there is for sin x or cos x.
So instead, we rewrite tan x using sine and cosine.
Using the identity:

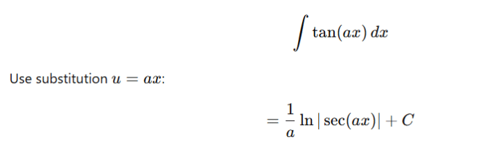
So the integral becomes:

This form is much easier to integrate.



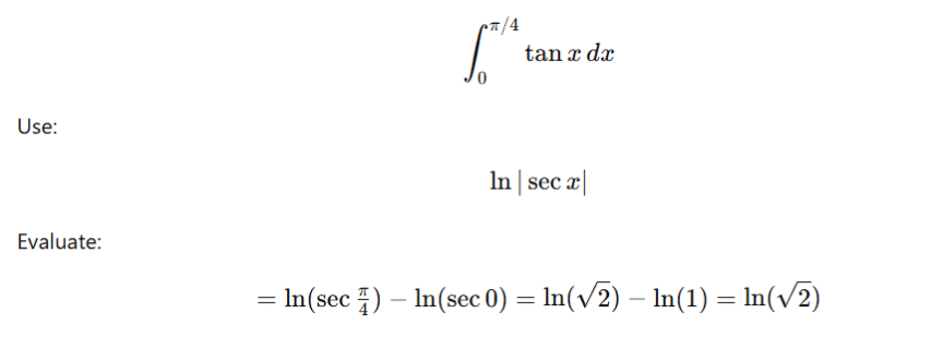
This is the standard result expected in exams.

tan x grows rapidly near π2\frac{\pi}{2}2π
cos x approaches zero near that point
logarithmic behavior naturally appears
This explains why the answer involves a logarithm, not a trigonometric function.
❌ Writing the answer as sec x
❌ Forgetting absolute value in the logarithm
❌ Integrating tan x as sin x / cos x without substitution
❌ Missing the constant of integration
❌ Mixing derivative and integral rules
👉 Important reminder:
Derivative of tan x = sec²x
Integral of tan x ≠ sec²x
These are very common exam and homework questions:



These are very common exam and homework questions:
tan x has vertical asymptotes
Area under tan x grows rapidly
Logarithmic result reflects this behavior
📌 Including a sketch of y = tan x can earn extra method marks.
For IB Math AA / AI students:
Always rewrite tan x first
Show substitution clearly
Use absolute value in logs
Explain why substitution is used
Mention domain restrictions if asked
For IAs, tan x integrals can connect to:
Motion on inclined planes
Periodic signals
Rotational systems

Because rewriting tan x as sin x / cos x leads to a logarithmic integral.
Both are mathematically equivalent and accepted.
Yes, it appears in IB Math AA and AI exams.
Yes. Logarithmic integrals must include absolute value.
Think:
tan x → sec x → ln(sec x)
The integral of tan x is a perfect example of how rewriting a function makes calculus easy. Once you understand the identity and substitution, this integral becomes straightforward and exam-safe.
Mastering this topic improves:
Trigonometric integration
Substitution skills
Exam confidence

IB Demystified is a trusted online learning platform led by certified IB examiners and educators.
© 2025 IB Demystified LTD
ALL RIGHTS RESERVED.
WhatsApp us